Contoh Soalan Stpm Math M
Bahasa Melayu BM Sejarah Matematik Bahasa Inggeris Fizik Kimia Matematik Tambahan Biologi Prinsip Perakaunan Sains Pendidikan Islam Pendidikan Moral. Praktis Topik Kertas Soalan Peperiksaan Tahun-Tahun Lepas STPM Biology Semester 123.
2013 Stpm Mathematics M Past Year Questions P1 P2 P3 Pdf Equations Matrix Mathematics
If you got stuck on a Math or Physics question feel free to ask us on FB Messenger.
. Trial Terengganu STPM 2010. Round off 0010372 correct to three significant figures. Peperiksaan SPM ini bakal menentukan hala tuju para pelajar setelah lima tahun pembelajaran di sekolah menengah dan seterusnya menuju ke.
KEDAH STPM 2008 TRIAL PAPERS. Sila jawab semua soalan ramalan yang diberi. Soalan Percubaan Pahang STPM 2011 Trial Pahang STPM 2011.
Koleksi Kertas Soalan Peperiksaan Percubaan Matematik Mathematics SPM 2019 2018 2020 2017 Skema Jawapan. OUT on 21st 18th March 2013. PERSAMAAN LINEAR SERENTAK CONTOH SOALAN KBAT Harga sekilogram langsat dan 2 kilogram rambutan ialah RM1500 manakala harga 3 kilogram langsat dan 4 kilogram rambutan ialah RM3700.
Laman Utama Sumber Penerbitan Laporan Peperiksaan STPM dan MUET 2019 Laporan Peperiksaan STPM dan MUET 2019. Bagi ibubapa dan pelajar pula bolehlah. Trial Pahang STPM 2010.
Semoga berjaya dalam ujian SPM sebenar. Bincangkan faktor kemunculan Portugal sebagai kuasa maritime pada abad ke-15 dan abad ke-16 masihi. Pengajian Am 2.
Kertas Spot Sejarah STPM Penggal 1 9401 Sejarah 1 RM990. SOALAN-SOALAN PEMBEZAAN Soalan 1. Kertas peperiksaan ini adalah untuk subjek Matematik dan dalam dwibahasa.
Contoh Soalan KBAT Matematik SPM. Bahasa Melayu 1 QA. CONTOH SOALAN MATEMATIK PEGAWAI TADBIR DIPLOMATIK PTD.
Kertas latihan ini mengandungi 40 soalan percubaan. Koleksi soalan percubaan Matematik SPM seluruh negeri. Bank soalan ini diusahakan untuk memberi sedikit inputkemudahan kepada guru-guru untuk menyediakan soalan-soalan untuk peperiksaan SPM.
STPM Maths Paper 1 Past Year Question Free Download. Bahasa Melayu 1. FORMAT PEPERIKSAAN PEGAWAI TADBIR DIPLOMATIK.
Berikut ialah Kertas peperiksaan soalan Matematik 2017 dan Skema Jawapan untuk rujukan anda. Untuk soalan subjek-subjek lain sila layari Bank Soalan Percubaan SPM 2018. Sej arah 1.
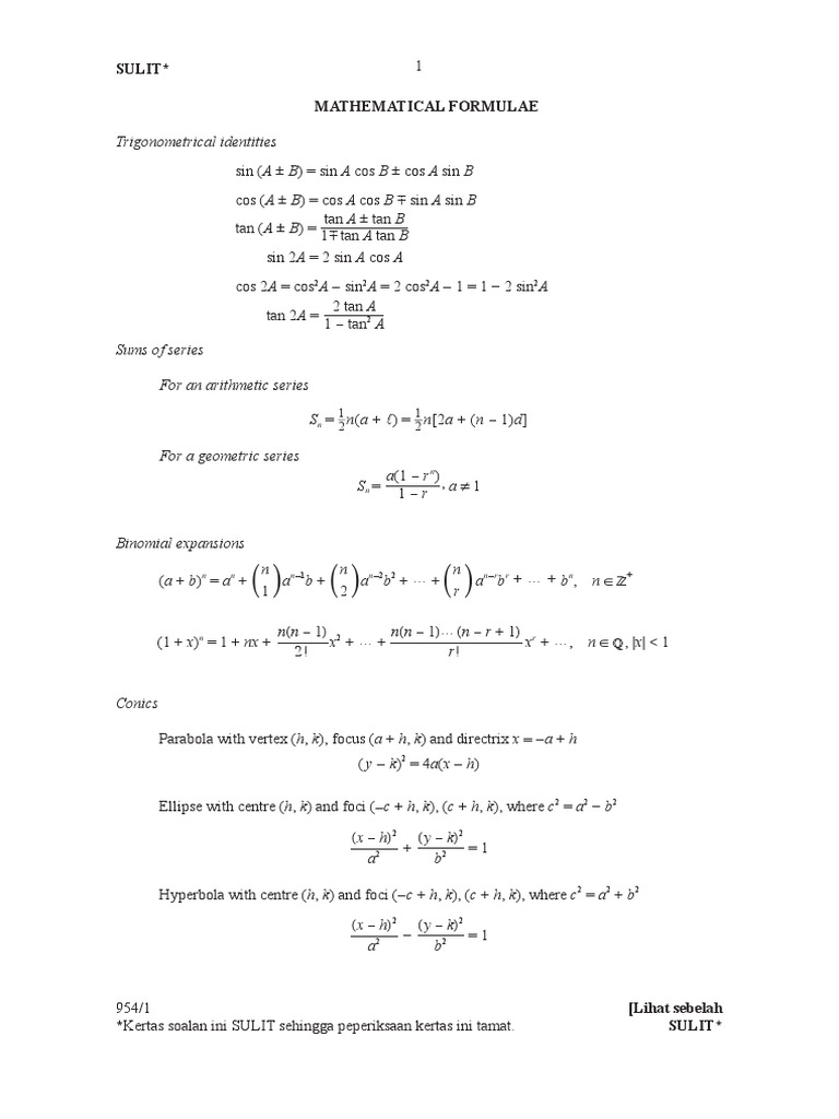
STPM Mathematics Formula Formula Matematik STPMSijil Tinggi Persekolahan Malaysia. STPMSE950 MAJLIS PEPERIKSAAN MALAYSIA MALAYSIAN EXAMINATIONS COUNCIL PEPERIKSAAN SIJIL TINGGI PERSEKOLAHAN MALAYSIA MALAYSIA HIGHER SCHOOL CERTIFICATE EXAMINATION MATHEMATICS M Syllabus Specimen Papers and Specimen Assignments This syllabus. SEBELUM ITU SILALAH MENDAFTAR SEBAGAI AHLIRAKAN TINGKATAN ENAM - LALUAN PALING MURAH DAN PALING MUDAH KE.
Bank Soalan STPM Penggal 2 adalah antara himpunan soalan-soalan yang berjaya kami sediakan untuk menjadi panduan dan rujukan kepada guru ibubapa dan pelajar. 950 Sukatan Pelajaran Matematik M STPM Baharu 1. Kertas Spot Sejarah STPM Penggal 3 9403 Sejarah 3 RM990.
Laporan Peperiksaan STPM dan MUET. Kertas Soalan Peperiksaan Tahun-Tahun Lepas STPM Aktual Repeat. Kertas Spot Ekonomi STPM Penggal 1 9441 Mikroekonomi RM990.
Trial Negeri Sembilan STPM 2010. Cari pembezaan bagi Jawapan Soalan 2. Learn How To do Math In Your Head.
KOLEKSI SOALAN STPM SEBENAR DARI 2013 HINGGA 2020 SEMESTER 1 TEMA 1 1. PENDEKATAN SOALAN MATEMATIK PTD. DOWNLOAD CONTOH SOALAN LEPAS.
Trial Selangor STPM 2011. We will be more than willing to guide you on your questions. Sunday November 8 2009.
954 Mathematics T MATHEMATICS T-LP2019pdf. FAKULTI PENDIDIKAN DAN BAHASA SEMESTER SEPTEMBER 2012 HBMT4403 TEACHING MATHEMATICS IN FORM SIX NAMA PELAJAR. Koleksi Soalan-soalan Matematik UPSR PMR SPM STPM dan Matematik Tambahan.
Ekonomi 1. Learn Mental Math Click Here. Bank Soalan SPM Matematik adalah antara himpunan soalan-soalan yang berjaya kami sediakan untuk menjadi panduan dan rujukan kepada guru ibubapa dan pelajar.
TERIMA KASIH KERANA MELAYARI DERMAGA BM STPM --- MOGA-MOGA MEMPEROLEH MANFAAT - ANDA DIIZINKAN UNTUK MEMUAT TURUN DOKUMEN YANG DIINGINI. Additional Mathematics 1 Guru 1 Huraian Sukatan Pelajaran 1 Jadual SPM 2009 1. Calon wajib menduduki semua kertas peperiksaan.
Ahmad membeli 3 kilogram langsat dan 2 kilogram rambutan dan membayar dengan wang RM5000. 950 Mathematics M MATHEMATICS M-LP2019pdf. Download Soalan Percubaan Matematik Kertas 1 - Perlis.
From year 1999 to 2007. CONTOH-CONTOH SOALAN BERKAITAN TOPIK PEMBEZAAN Nota. 2 Kemahiran Menginterpretasi Data.
Ianya berguna untuk anda memahami dan berlatih format soalan sebenar Matematik SPM. Soalan dalam bahasa Inggeris mendahului soalan yang sepadan dalam bahasa Melayu. Pengajian Perniagaan 1.
Pengajian Am 1. Soalan Perucbaan STPM MatematikT soalan percubaan stpm 2019 penggal 2 soalan percubaan stpm penggal 1 2018 bank soalan stpm soalan percubaan stpm penggal 1 pengajian am 2018 soalan pengajian am penggal 1 2018 soalan stpm ekonomi penggal 1 2018. Semoga perkongsian bahan-bahan rujukan panduan bahan pembelajaran dan pengajaran contoh-contoh karangan sumber rujukan STPM Sijil Tinggi Persekolahan Malaysia tingkatan 6 dalam post di blog Bumi Gemilang berguna dan dapat.
Bank soalan ini diusahakan untuk memberi sedikit inputkemudahan kepada guru-guru untuk menyediakan soalan-soalan untuk peperiksaan STPM. Koleksi Soalan Percubaan Matematik T STPM 2009. SOALAN STPM Sebenar Semester 2 DERMAGA BM STPM.
Berikut adalah koleksi kertas soalan percubaan trial papers berserta skema jawapan untuk subjek Matematik Mathematics peperiksaan Sijil Pelajaran Malaysia SPM dari semua negeri bagi tahun 2018 2019 dan 2020. Huraikan struktur masyarakat feudal Jepun dalam era pemerintahan kesyogunan Tokogawa dari tahun 1603 hingga tahun 1868. Download Soalan Percubaan Matematik Kertas 2 - Perlis.
Peperiksaan Sijil Pelajaran Malaysia SPM merupakan salah satu peperiksaan terpenting bagi pelajar-pelajar sekolah menengah di Malaysia. Koleksi soalan percubaan SPM 2019 2020 semua negeri dan jawapan. Matematik M 950 Kertas 1 2 3 dan 4 Contoh Soalan STPM Format Baharu Questions for Mathematics M 950 Paper 1 2 3 4 New.
Bagi ibubapa dan pelajar pula bolehlah menggunakan. SPM STPM Result. STPMSE950MAJLIS PEPERIKSAAN MALAYSIA MALAYSIAN EXAMINATIONS COUNCIL PEPERIKSAANSIJIL TINGGI PERSEKOLAHAN MALAYSIA MALAYSIA HIGHER SCHOOL CERTIFICATE EXAMINATION MATHEMATICS MSyllabus Specimen Papers and Specimen Assignments This syllabus applies for the 20122013 session and thereafter.
Mathematics T 1_skemapdf If you got stuck on a Math or Physics question feel free to ask us on FB Messenger.
2013 Stpm Mathematics M Past Year Questions P1 P2 P3 Pdf Equations Matrix Mathematics
Mathematics T Stpm 2014 Sem 1 Trial Paper Sigs Pdf Trigonometric Functions Ellipse

No comments for "Contoh Soalan Stpm Math M"
Post a Comment